Как выбрать металлоискатель и как он устроен
Выбор металлоискателя является не простым вопросом для поисковика с любым стажем в работе, тем более для новичка в этом деле. Попробуем в этой статье объединить и разъяснить некоторые проблемные моменты, связанные с муками выбора.
Металлоискатель (металлодетектор) — электронный прибор, позволяющий обнаруживать металлические предметы в нейтральной или слабопроводящей среде за счёт их проводимости. Металлоискатель обнаруживает металл в грунте, воде, стенах, в древесине. Благодаря развитию микроэлектроники современные металлоискатели являются компактными и надёжными приборами.

Способы обнаружения
Основная характеристика металлоискателя – это способ обнаружения предметов. В настоящее время наиболее распространены следующие способы:
- VLF, VLF/TR (Very Low Frequency / Transmitter-Receiver – «Очень низкая частота /Передатчик-Приемник») — классический метод, использующийся на большинстве металлоискателей. Во времена появления первых металлоискателей, было замечено, что на низкой частоте влияние грунта меньше, чем на высокой — от этого метод и получил название.
- VFLEX – продвинутая версия VLF, VLF/TR. Принцип примерно тот же, но вместо аналогового сигнала используется дискретный (Дискре́тный сигна́л (лат. discretus — «прерывистый», «разделённый») — сигнал, который является прерывистым (в отличие от аналогового) и который изменяется во времени и принимает любое значение из списка возможных значений.), что существенно улучшает качество его обработки.
- PI – импульсная индукция (принцип работы импульсного устройства заключается в подаче на катушку поисковой головки импульсных сигналов, которые создают электромагнитное поле, пульсирующее с определенной частотой). Одна и та же катушка используется как приёмник и передатчик. Этот метод хорошо зарекомендовал себя при поиске в воде, особенно в солёной.
- FBS – полнодиапазонный спектр (полнодиапазонный спектр» — детектор одновременно передает, получает и анализирует полный диапазон множественных частот, что позволяет достичь оптимальных показателей чувствительности и глубины обнаружения, ничем, не жертвуя.). Используется не один, а несколько генераторов частоты, работающих одновременно. Это обеспечивает блок управления наиболее полной информацией об объекте.
- RF (Radio Frequency – «Радиочастота») метод использует для поиска предметов две катушки, расположенные в перпендикулярных плоскостях и разнесенные друг от друга на некоторое расстояние. RF-металлоискатель — узкоспециализированный прибор, предназначенный для поиска крупных металлических предметов на больших глубинах. Работая на высоких частотах, он подвержен влиянию грунта, особенно минерализованного. Нечувствителен к мелким предметам.
Катушки и с чем их «едят»
Ещё одна важная характеристика – это частота генератора (или нескольких генераторов) с которой работает металлоискатель. Во многом она зависит от типа и размера используемой катушки. Если прибор работает на какой-то одной частоте, к нему подойдёт только катушки, рассчитанные для работы только на ней и ни на какой другой. В случае наличия генераторов нескольких частот можно использовать разные типы катушек.
Сами же катушки могут быть двух типов конструктивного исполнения:

Сигнал от DD катушки идет шире. Но Моно катушка бьет, как правило, глубже.
DD катушки металлоискателей рекомендуется использовать на сильно минерализованных грунтах. Многие производители в последние время предпочитают устанавливать на свои металлоискатели DoubleD катушки. Надо заметить, что DD катушки дороже в производстве, чем моно. Это сказывается на их цене.
Посмотрите еще одну схему. На наш взгляд здесь более корректно показывается разница между DD и Моно катушкой:

Зеленая область — это зона охвата DD катушки. Видно, что в одном направлении она проигрывает моно, в другом — DoubleD происходит. Так же на схеме видно, что в зону охвата DD катушки не попадает второй предмет, а значит сигнал в этом случае будет четкий, от одной цели, а не от нескольких. На глубине, где Моно катушка уже еле достает, охват c DD шире.
Так же катушки отличаются размером поискового элемента. Как правило, производитель устанавливает на свои металлоискатели стандартную поисковую катушку размером 9″-10″. Это считается средним размером. С такой катушкой можно ходить по большей части полей. Но если металлического мусора много, то приходится устанавливать катушку меньшего диаметра. Обычно — 6″ «снайперки». Это требуется потому, что под большую катушку попадает одновременно несколько целей: цветные и черные металлы. Металлоискатель в этом случае дает черный сигнал либо смешенный, не чёткий. Получается, что один сигнал от более массивной или верхней цели перекрывает другой и как правило не желательные цели из черных металлов в этом доминируют. Уменьшение диаметра катушки позволяет избежать такой ситуации. Если же мы имеем небольшую плотность мусора, то можно увеличить глубину поиска, взяв катушку большего диаметра. Кроме того, при поиске мы уменьшим количество пропусков целей.
Катушки для металлоискателей бывают круглые и эллиптические. Эллиптические катушки позволяют при большем продольном размере ходить по достаточно замусоренным полям, и обеспечиваю большую глубину поиска.
Так же эти катушки имеют больший охват.
Катушки могут работать только с тем металлоискателем, для которого они предназначены. Т.е. если катушка предназначались для работы с определенным металлоискателем Garrett, то с металлоискателем другого производителя (например, Minelab) она работать не будет.
Этому есть несколько причин:
- несовпадение характеристик миноискателей (например, металлоискатель Garrett ACE-250 работает на частоте 6,5кГц, а Fisher F75 на частоте 13кГц. Конечно, у них катушки не взаимозаменяемы.)
- несовпадение разъемов (все производители устанавливают свои разъемы на катушку, а некоторые катушки являются беспроводными.
Соответственно,
- если Вам нужны катушки к металлоискателю АКА, то необходимо искать в разделе катушек АКА
- если Вам нужны катушки к металлоискателю Гаррет, то необходимо искать в разделе для Garrett
- катушки к металлоискателям 705, необходимо искать в разделе для катушки Minelab
Но есть производители только катушек (но не металлоискателей). Они выпускают датчики для различных производителей. Здесь надо внимательно смотреть, для каких приборов эти катушки предназначены.
Примеры таких производителей:
- Nel
- Mars
- Coiltek
- Detech
Функциональные возможности металлоискателей

Кроме того, к характеристикам металлоискателя можно отнести:
- глубину обнаружения
- количество степеней дискриминации
- чувствительность
- количество тональностей звука
- частота работы
- программы завода изготовителя
- элементы питания
- вес
- количество тональностей звука
- точность определения координат находки
Все перечисленные параметры так или иначе влияют на цену устройства и иногда относительно небольшие их различия могу приводить к разнице в цене в 1.5-2 раза. Однако исключения из правил существуют и не всегда металлоискатели, которые стоят дешевле, обладают худшими характеристиками.
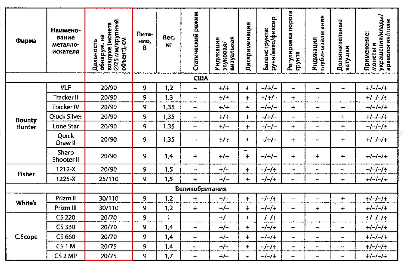
Максимальная глубина обнаружения – один из основных параметров металлоискателя, во многом определяющий его возможности и цену. Но чем меньше металлическая цель, тем меньше глубина, на которой она может быть обнаружена. Любой металлоискатель на максимальной глубине обнаружения «увидит» только очень большие металлические предметы. Поэтому в характеристиках металлоискателя обычно приводится еще и глубина обнаружения монет, указывающая, на какой максимальной глубине может быть обнаружена небольшая металлическая цель (размером с ту или иную монету). Так же при первых пробах поиска не плохо бы было поместить в грунт монету или кольцо, стопку монет или очень сложный для поиска предмет- цепочку. Нужно это для того что бы понять глубину и сигнал, картинку на годографе во время обнаружения.
Несколько примеров в виде таблицы по глубине обнаружения популярными грунтовыми металлоискателями:

Дискриминатор, без сомнения, является важнейшей функцией металлоискателя – он позволяет определить, из какого металла изготовлен обнаруженный предмет и отсеять «ненужные» металлы. При отсутствии этой функции металлоискатель будет реагировать на любой металлический предмет. Но и излишне увлекаться дискриминацией не желательно, конечно отсекая все черные металлы и не интересующие сигналы поиск можно сделать комфортным. Однако при таком варианте его использования ухудшается чувствительность и максимальная глубина обнаружения целей, поэтому его применение должно быть сбалансировано. Многие опытные поисковики сейчас говорят: «На настройках все металлы, я копаю все сигналы».
Отличный пример дискриминации у металлоискателя Minelab E-Trac. Прибор дискриминирует цели по их свойву электропроводимости и свойствам намагничиваться:

Дискриминаторы также разделяются по возможностям – самый простой из них представляет собой регулятор чувствительности, который отсеивает все найденные предметы с проводимостью ниже определенного заданного значения. Более удобные в работе дискриминаторы имеют возможность выделения некоторого диапазона проводимостей, и сигнал будет подаваться только при попадании характеристик принятого сигнала в указанный диапазон. Наиболее продвинутые дискриминаторы в дорогих металлоискателях поддерживают несколько таких диапазонов и используют при дискриминации не одну только проводимость, а целый набор параметров – это позволяет с более высокой достоверностью определять все интересующие поисковика предметы, а остальные металлические предметы игнорировать. Такие наборы параметров для удобства пользователя могут быть подготовлены производителем заранее (например, «Монеты/реликвии», «Мелкое золото» и т.п.)
Удобно, если дискриминатор выдает не только звуковой сигнал, но и выводит информацию на дисплей. Число ВДИ (значения VDI металлоискателя зависит от электромагнитных свойств, и формы объекта.) или стрелочный прибор – это дает шанс не упустить важную находку, даже если дискриминатор её «заблокировал». Для этой же цели используется тональная идентификация – когда тон издаваемого прибором сигнала зависит от проводимости найденного предмета (чем выше тон, тем лучше проводимость металла, и выше вероятность, что под катушкой находится что-то ценное).
Питание- металлоискатели могут работать от батареек разных форм и размеров, как правило «пальчиковые» и крона, есть приборы с встроенными аккумуляторами и съемными. У всех этих типов питания есть свои плюсы и недостатки. С одной стороны пачки батареек хватает на несколько поисковых дней, и приобрести по дороге на коп запасную пачку ни когда не сложно, с другой аккумулятор с возможностью зарядки через USB значительно приятнее в эксплуатации.
Виды металлоискателей
Грунтовый металлоискатель — предназначен для поиска кладов, монет и ювелирных изделий, металлолома. Как правило, построен по индукционной технологии. Имеет множество настроек, DSP-процессор, дискриминатор металлов — специальную функцию для определения металла, из которого предположительно состоит объект в земле. Глубина обнаружения объектов до 1 метра.

Глубинный металлоискатель — предназначен для поиска больших глубинных целей, таких как сундук с золотом. Имеет две разнесённые друг от друга катушки, либо одну большую рамку с катушкой. Основан на принципе «приём-передача». Отличительной особенностью данного вида металлоискателей является то, что он реагирует не только на металлы, но и на любые изменения в глубине грунта (переходы от одной почвы к другой, старые фундаменты зданий и т. д.). Глубина обнаружения объектов до 3 метров.

Подводные металлоискатели — Подводный металлоискатель выполняет те же функции, что и грунтовой, но при этом он еще и не боится полного погружения под воду. Различные модели допускают погружение на разную глубину – некоторые подойдут максимум для поиска украшений в местах купания, другие можно использовать для подводного кладоискательства. Как правило, подводные металлоискатели можно применять и на поверхности, как обычный грунтовый металлоискатель. Подводный металлоискатель может оказаться неудобным для использования на поверхности, но многие подводные металлоискатели являются универсальными – длину штанги и расположение упора можно менять в зависимости от того где прибор используется – на поверхности или под водой.

Виды приборного поиска (металлопоиска)
При выборе металлоискателя необходимо понять, какой вид металлопоиска вам наиболее интересен. В нашей стране и ближайшем зарубежье распространены следующие виды металлопоиска:
— на полях, лугах и в лесной местности;
— на местах существующих и исчезнувших населенных пунктов;
— в старинных постройках (чердак, подвал, крыльцо);
— на пляжах и обмелевших водоемах;
— в местах, где велись боевые действия.
Каждый из этих видов поиска может претендовать на написание особой отдельной статьи. И дает повод задумать какое место или локацию посетить.
Несколько примеров
- Начального уровня (Teknetics Eurotek, Fisher F11-11DD, Garrett ACE 150, Garrett ACE 400i).
- Среднего уровня ( Fisher F70-11DD GWP-R, Deus ORX, Nokta Makro Simplex+, Minelab X-Terra 505, 705).
- Профессионального уровня (Nokta Makro Anfibio Multi, Fisher F75 Special Edition Black, Minelab CTX3030, Garrett ATX, Deus XP).
Garrett ACE 400i

Металлоискатель продвинутого уровня для новичков. Дальнейшее продолжение версий 200i и 300i. Обладает эллиптической DD катушкой размерами 20 на 25 см. Внешне модель напоминает более дорогой Garrett AT Gold, но это модели совершенно разного уровня.
Имеет автоматическую настройку по грунту, может работать на почвах с разной степенью минерализации. Глубина обнаружения монет до 30 см, крупных предметов – до 1.5 м. Имеется пинпоинтер.
Катушка обладает влагозащитой, но подводный поиск не рекомендуется. Комплекта из 4 АА батареек хватает примерно на один день поисков.
К достоинствам это прибора можно отнести: простоту настройки и эксплуатации, быстрое время отклика, хорошая чувствительность и глубина обнаружения, влагозащищенный корпус катушки, наличие пинпоинтера.
Характеристики:
- Метод обнаружения: VLF
- Максимальная глубина обнаружения, см: 150
- Рабочая частота, кГц: 10
- Вес, кг: 1.32
- Рейтинг: 90
- Цена: 23 819 – 29 550
Nokta Makro Simplex Plus

Качественный прибор с множеством настроек и возможностью улавливать сигналы от металла под водой. Мощная программная дискриминация. Есть настройки по минерализации грунта. В приборе используется DD-катушка диаметром 11 дюймов.
Благодаря удачному подбору параметров, катушки и программ способен обнаруживать монеты на глубине до 50 см. Легко ищет металл массой до 1 кг на глубинах до 1 м. Более крупные фрагменты – до 3 м. По характеристикам он очень напоминает серию Deteknix Quest (модели Q10, Q20 или Q40), но является более продвинутым.
Отдельно следует отметить водозащитные свойства прибора. Катушка надёжно защищена от влаги и позволяет вести поиск под водой. При этом штанга может удлиняться до 132 см.
Устройство снабжено собственным аккумулятором, которого хватает на 6-8 часов работы. Время зарядки – около 4 часов. По желанию можно приобрести дополнительную аккумуляторную батарею.
Характеристики:
- Метод обнаружения: VLF
- Максимальная глубина обнаружения, см: до 300
- Рабочая частота, кГц: 12
- Вес, кг: 1.3
- Рейтинг: 92
- Цена: 24 300
*Более подробно о металлоискателе Nokta Makro Simplex+
XP Deus

Металлоискатель от XP, представляет собой полностью беспроводное устройство, все элементы которого (катушка, блок управления и наушники) связаны друг с другом по радиоканалу. Это существенно облегчает работу с прибором, кабель между блоком и катушки ни когда не ослабнет и не начнет давать ложных сигналов. А также провод от наушников никогда не попадет под лопату.
Прибор облает всеми видами настройки поиска: 99 уровней чувствительности, 99 степеней дискриминации, настройка характера грунта и т.д. Вместе с тем, его эксплуатация не доставит проблем даже новичкам, поскольку в устройстве имеются предустановки на 9 программ поиска в зависимости от условий и целей. Кроме того, есть статический режим работы и пинпоинтер. Огромные возможности вариаций своих настроек.
Устройство снабжено собственным аккумулятором. Ресурс работы батареи составляет около 10 часов, а время заряда – всего 2 часа.
Характеристики:
- Метод обнаружения: VLF
- Максимальная глубина обнаружения, см: 150
- Рабочая частота, кГц: 2.7 – 18
- Вес, кг: 0.98
- Рейтинг: 95
- Цена: 84 800
Заключение
От себя замечу, за более чем 20-ти летний стаж приборного поиска с самодельными и армейскими приборами, зарубежного и отечественного производства, главное с металлодетектором работать и начать его понимать, что возможно только через практику. Ну а выбирать свой первый металлоискатель рекомендую в магазине металлоискателей «У Деда Мити». Пожалуй самый большой выбор, который устроит пользователя любого уровня и новичка и профессионала в приборном поиске.
Есть неизбежные этапы на пути к успешным выходам с прибором многие километры походов, кубометры перерытой земли и сотни килограммов металломусора. А так же умение работать с картами и историческими данными, уметь читать местность, поэтому путь к успеху только через учёбу и практику. Не стоит бояться покупки более дорогого металлоискателя, функциональные возможности у него будут выше, а значит, шансов зацепить на выбитом месте пропущенную цель выше. Заводские настройки у таких приборов более сбалансированы и помогут вам на начальном уровне получить результат (находки). А уже далее изменяя эти настройки под свои требования, что придет со временем владения, Вы сможете сделать свои программы с более тонкими и подходящими программами. Если металлоискателя ранее у Вас не было, то особой разницы между изучением приборов начального уровня или профессионального, особо не заметите, потому что эти изучения будут с нуля. На профильных форумах тысячи поисковиков обмениваются опытом пользования тех или иных моделей приборов. Огромное количество информации о настройках для разных локаций поиска. Вам наверняка удастся завести новые знакомства, а от компании в поиске тоже многое зависит, и главное когда результат начнет приносить свои плоды (желанные находки) удовольствие от процесса станет непередаваемым!
Удачи вам под катушку и авантюр!




















